Упр.696 ГДЗ Макарычев Миндюк 9 класс (Алгебра)
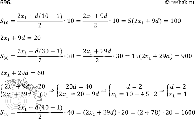
Решение #1
Решение #2

Рассмотрим вариант решения задания из учебника Макарычев, Миндюк, Нешков 9 класс, Просвещение:
696 Найдите сумму первых сорока членов арифметической прогрессии, если сумма первых десяти её членов равна 100 и сумма первых тридцати её членов равна 900.
*размещая тексты в комментариях ниже, вы автоматически соглашаетесь с пользовательским соглашением