Упр.695 ГДЗ Макарычев Миндюк 9 класс (Алгебра)
Решение #1
Решение #2

Рассмотрим вариант решения задания из учебника Макарычев, Миндюк, Нешков 9 класс, Просвещение:
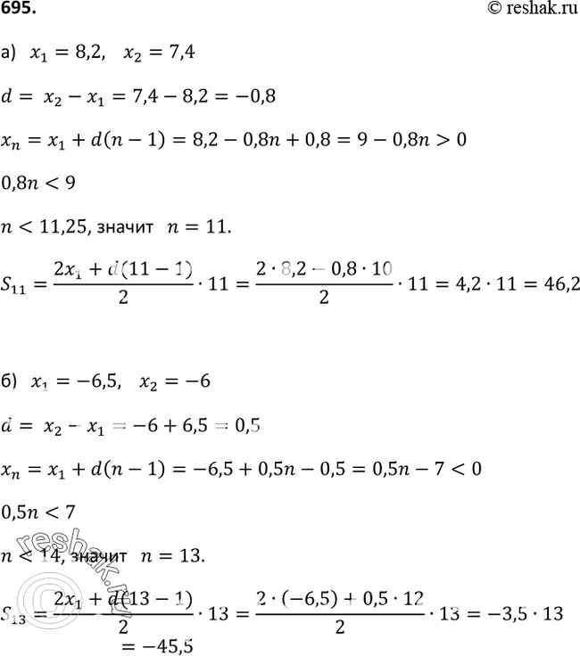
695 Найдите:
а) сумму всех положительных членов арифметической прогрессии 8,2; 7,4; ... ;
б) сумму всех отрицательных членов арифметической прогрессии -6,5; -6; ... .
*размещая тексты в комментариях ниже, вы автоматически соглашаетесь с пользовательским соглашением