Упр.635 ГДЗ Макарычев Миндюк 9 класс (Алгебра)
Решение #1
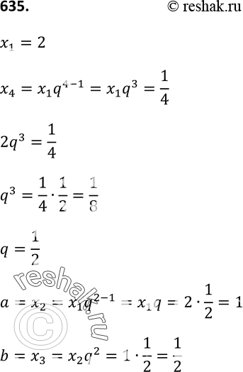
Решение #2

Рассмотрим вариант решения задания из учебника Макарычев, Миндюк, Нешков 9 класс, Просвещение:
635. Геометрическая прогрессия (хn) состоит из четырёх членов: а, b, 1/4. Найдите а и b.
*размещая тексты в комментариях ниже, вы автоматически соглашаетесь с пользовательским соглашением