Упр.631 ГДЗ Макарычев Миндюк 9 класс (Алгебра)
Решение #1
Решение #2

Рассмотрим вариант решения задания из учебника Макарычев, Миндюк, Нешков 9 класс, Просвещение:
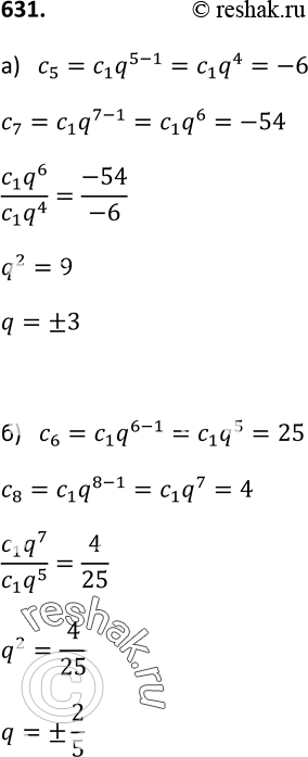
631. Найдите знаменатель геометрической прогрессии (сn), если: а) с5 = -6, с7 = -54; б) с6 = 25, с8 = 4.
*размещая тексты в комментариях ниже, вы автоматически соглашаетесь с пользовательским соглашением