Упр.632 ГДЗ Макарычев Миндюк 9 класс (Алгебра)
Решение #1
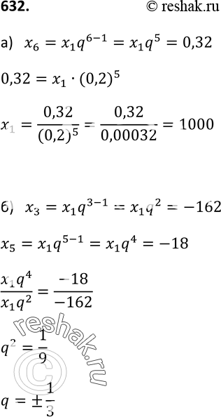
Решение #2

Рассмотрим вариант решения задания из учебника Макарычев, Миндюк, Нешков 9 класс, Просвещение:
632. Последовательность (xn) — геометрическая прогрессия. Найдите: а) х1, если х6 = 0,32, q = 0,2; б) q, если х3 = -162, х5 = -18.
*размещая тексты в комментариях ниже, вы автоматически соглашаетесь с пользовательским соглашением