Упр.515 ГДЗ Макарычев Миндюк 9 класс (Алгебра)
Решение #1
Решение #2

Рассмотрим вариант решения задания из учебника Макарычев, Миндюк, Нешков 9 класс, Просвещение:
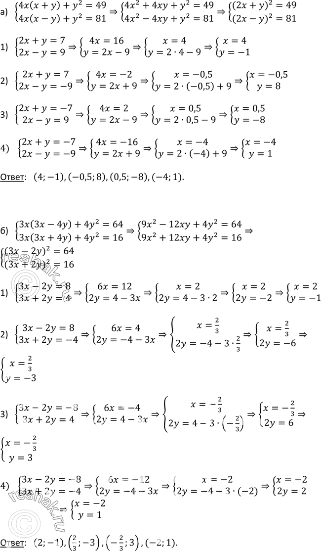
515. Решите систему уравнений:
а) система
4x(x + у) + у2 = 49,
4х(х - у) + у2 = 81;
б) система
3х(3х - 4у) + 4у2 = 64,
3x(3x + 4 у) + 4 у2 = 16.
*размещая тексты в комментариях ниже, вы автоматически соглашаетесь с пользовательским соглашением