Упр.509 ГДЗ Макарычев Миндюк 9 класс (Алгебра)
Решение #1
Решение #2

Рассмотрим вариант решения задания из учебника Макарычев, Миндюк, Нешков 9 класс, Просвещение:
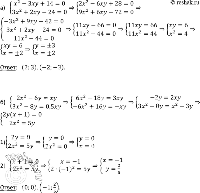
509 Найдите все решения системы уравнений:
а) система
x2-3xy+14=0,
3x2+2xy-24=0;
б) система
2x2-6y=xy,
3x2-8y=0,5xy.
*размещая тексты в комментариях ниже, вы автоматически соглашаетесь с пользовательским соглашением