Упр.847 ГДЗ Алимов 10-11 класс (Алгебра)

Решение #1

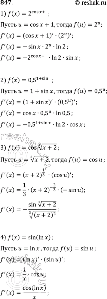
Изображение 847 1) 2^(cosx+1);2) 0,5^(1+sinx);3) cos корень 3 степени (x+2);4)...

Решение #2

Изображение 847 1) 2^(cosx+1);2) 0,5^(1+sinx);3) cos корень 3 степени (x+2);4)...
Дополнительное изображение
Загрузка...

Рассмотрим вариант решения задания из учебника Алимов, Колягин, Ткачёва 11 класс, Просвещение:
847 1) 2^(cosx+1);
2) 0,5^(1+sinx);
3) cos корень 3 степени (x+2);
4) sin(lnx).
*Цитирирование задания со ссылкой на учебник производится исключительно в учебных целях для лучшего понимания разбора решения задания.
*размещая тексты в комментариях ниже, вы автоматически соглашаетесь с пользовательским соглашением