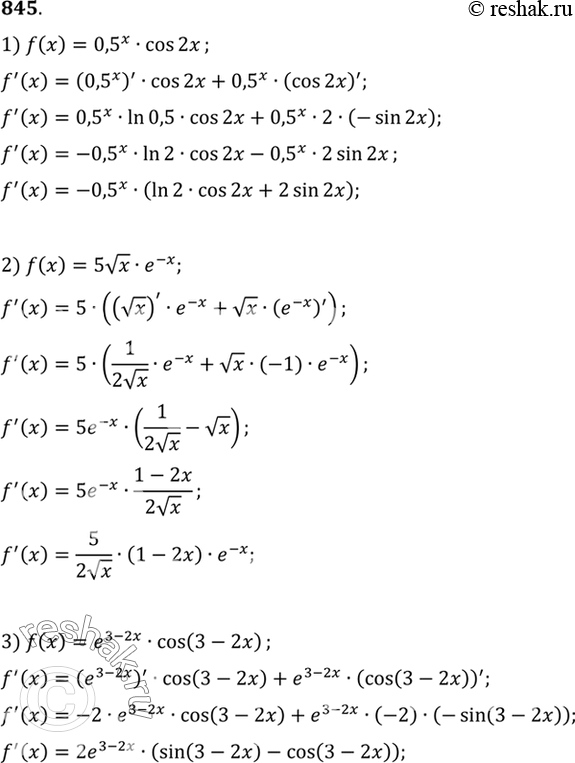
Упр.845 ГДЗ Алимов 10-11 класс (Алгебра)
Решение #1
Решение #2

Рассмотрим вариант решения задания из учебника Алимов, Колягин, Ткачёва 11 класс, Просвещение:
845 1) 0,5x * cos 2x;
2)5 корень x * e^-x;
3) e^(3- 2x) * cos (3 2x).
*размещая тексты в комментариях ниже, вы автоматически соглашаетесь с пользовательским соглашением