Упр.658 ГДЗ Макарычев Миндюк 9 класс (Алгебра)
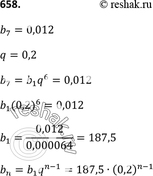
Решение #1
Решение #2

Рассмотрим вариант решения задания из учебника Макарычев, Миндюк, Нешков 9 класс, Просвещение:
658. Найдите первый член геометрической прогрессии (bn), если b7 = 0,012 и q= 0,2. Запишите формулу n-го члена этой прогрессии.
*размещая тексты в комментариях ниже, вы автоматически соглашаетесь с пользовательским соглашением