Упр.650 ГДЗ Макарычев Миндюк 9 класс (Алгебра)
Решение #1
Решение #2
Решение #3

Рассмотрим вариант решения задания из учебника Макарычев, Миндюк, Нешков 9 класс, Просвещение:
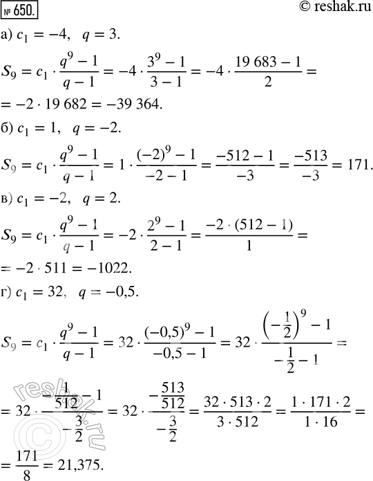
650. Вычислите сумму первых девяти членов геометрической прогрессии, если:
а) с1 = -4, q=3; в) c1 = -2, q = 2;
б) c1 = 1, q=-2; г) c1 = 32, q = -0,5.
*размещая тексты в комментариях ниже, вы автоматически соглашаетесь с пользовательским соглашением