Упр.649 ГДЗ Макарычев Миндюк 9 класс (Алгебра)
Решение #1
Решение #2

Рассмотрим вариант решения задания из учебника Макарычев, Миндюк, Нешков 9 класс, Просвещение:
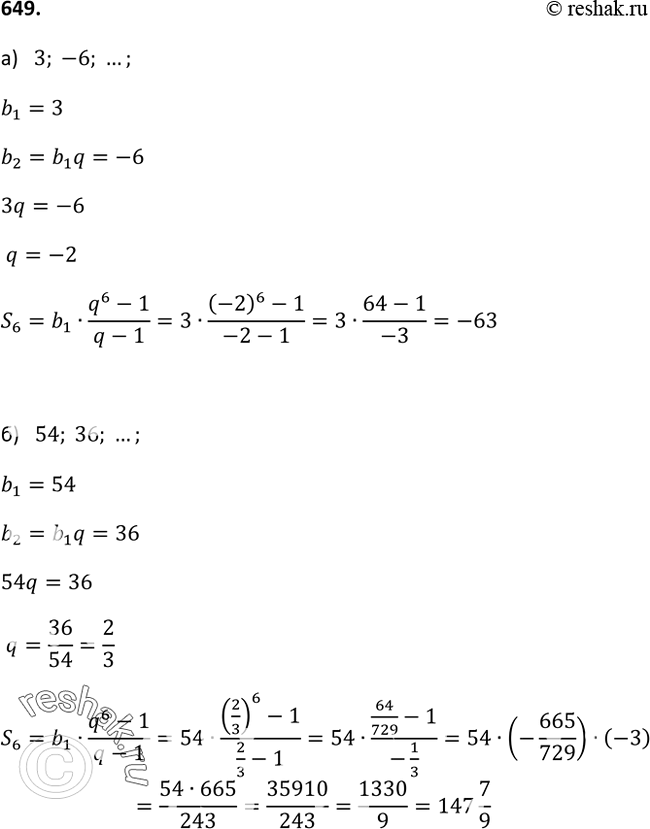
649. Найдите сумму первых шести членов геометрической прогрессии:
а) 3; -6; ... ;
б) 54; 36; ... ;
в) -32; -16; ... ;
г) 1; —1/2; ... .
*размещая тексты в комментариях ниже, вы автоматически соглашаетесь с пользовательским соглашением