Упр.52 ГДЗ Макарычев Миндюк 9 класс (Алгебра)
Решение #1
Решение #2
Решение #3

Рассмотрим вариант решения задания из учебника Макарычев, Миндюк, Нешков 9 класс, Просвещение:
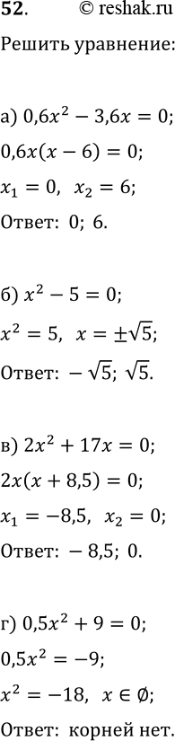
52. Решите уравнение:
а) 0,6x2 - 3,6x = 0;
б) х2 - 5 = 0;
в) 2х2 + 17х = 0;
г) 0,5x2 + 9 = 0.
*размещая тексты в комментариях ниже, вы автоматически соглашаетесь с пользовательским соглашением