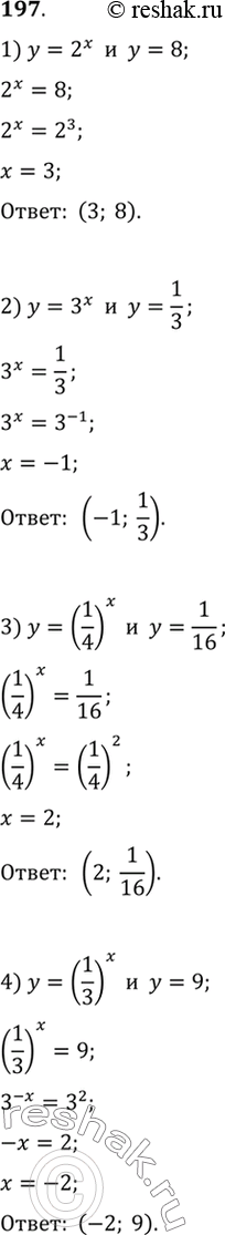
Упр.197 ГДЗ Алимов 10-11 класс (Алгебра)
Решение #1
Решение #2

Рассмотрим вариант решения задания из учебника Алимов, Колягин, Ткачёва 10 класс, Просвещение:
197 Найти координаты точки пересечения графиков функций:
1) y=2x и y=8;
2) y=3x и y=1/3;
3) y=(1/4)x и y=1/16;
4) y=(1/3)x и y=9.
*размещая тексты в комментариях ниже, вы автоматически соглашаетесь с пользовательским соглашением