Упр.14.4 ГДЗ Мордкович 9 класс (Алгебра)
Решение #1
Решение #2

Рассмотрим вариант решения задания из учебника Мордкович 9 класс, Мнемозина:
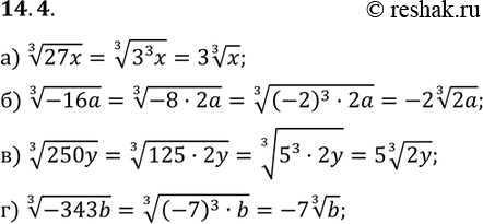
14.4. а) корень 3 степени 27x; б) корень 3 степени -16a; в) корень 3 степени 250y; г) корень 3 степени -343b.
*размещая тексты в комментариях ниже, вы автоматически соглашаетесь с пользовательским соглашением