Упр.604 ГДЗ Макарычев Миндюк 9 класс (Алгебра)

Решение #1

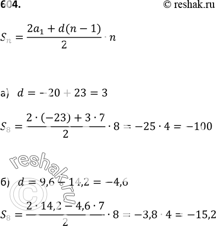
Изображение 604. Найдите сумму первых восьми членов арифметической прогрессии:а) -23; -20; ... ;	б) 14,2; 9,6; ......

Решение #2

Изображение 604. Найдите сумму первых восьми членов арифметической прогрессии:а) -23; -20; ... ;	б) 14,2; 9,6; ......
Загрузка...

Рассмотрим вариант решения задания из учебника Макарычев, Миндюк, Нешков 9 класс, Просвещение:
604. Найдите сумму первых восьми членов арифметической прогрессии:
а) -23; -20; ... ; б) 14,2; 9,6; ... .
*Цитирирование задания со ссылкой на учебник производится исключительно в учебных целях для лучшего понимания разбора решения задания.
*размещая тексты в комментариях ниже, вы автоматически соглашаетесь с пользовательским соглашением