Упр.533 ГДЗ Макарычев Миндюк 9 класс (Алгебра)
Решение #1
Решение #2

Рассмотрим вариант решения задания из учебника Макарычев, Миндюк, Нешков 9 класс, Просвещение:
533. Решите систему уравнений:
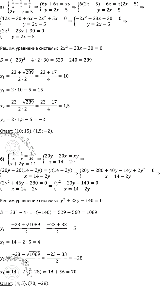
а) система
1/x+1/y=1/6,
2x-y=5;
б) система
1/x-1/y=1/20,
x+2y=14;
в) система
x+y=14,
x/y+y/x=2*1/2;
г) система
x-y=2,
x/y-y/x=5/6.
*размещая тексты в комментариях ниже, вы автоматически соглашаетесь с пользовательским соглашением