Упр.502 ГДЗ Макарычев Миндюк 9 класс (Алгебра)

Решение #1

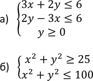
Изображение 502. Задайте системой неравенств:а) треугольник, изображённый на рисунке 73,а;б) кольцо, изображённое на рисунке 73,...

Решение #2

Изображение 502. Задайте системой неравенств:а) треугольник, изображённый на рисунке 73,а;б) кольцо, изображённое на рисунке 73,...
Загрузка...

Рассмотрим вариант решения задания из учебника Макарычев, Миндюк, Нешков 9 класс, Просвещение:
502. Задайте системой неравенств:
а) треугольник, изображённый на рисунке 73,а;
б) кольцо, изображённое на рисунке 73, б.
*Цитирирование задания со ссылкой на учебник производится исключительно в учебных целях для лучшего понимания разбора решения задания.
*размещая тексты в комментариях ниже, вы автоматически соглашаетесь с пользовательским соглашением