Упр.5 ГДЗ Макарычев Миндюк 9 класс (Алгебра)
Решение #1
Решение #2
Решение #3

Рассмотрим вариант решения задания из учебника Макарычев, Миндюк, Нешков 9 класс, Просвещение:
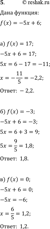
5 Известно, что f(x) = -5x+ 6. Найдите значение х, при котором: a) f(x) =17; б) f(x) = -3; в) f(x) = 0.
*размещая тексты в комментариях ниже, вы автоматически соглашаетесь с пользовательским соглашением