Упр.429 ГДЗ Макарычев Миндюк 9 класс (Алгебра)
Решение #1
Решение #2

Рассмотрим вариант решения задания из учебника Макарычев, Миндюк, Нешков 9 класс, Просвещение:
429. Решите способом подстановки систему уравнений
а) система
y2-x=-1,
x=y+3;
б) система
y=x-1,
x2-2y=26;
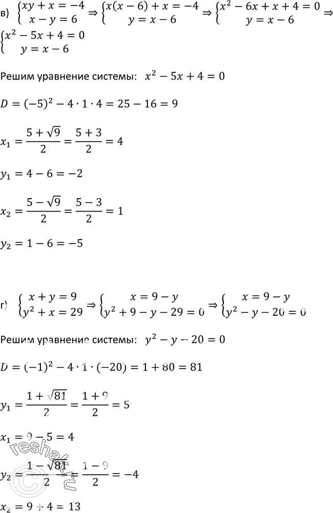
в) система
xy+x=-4,
x-y=6;
г) система
x+y=9,
y2+x=29.
*размещая тексты в комментариях ниже, вы автоматически соглашаетесь с пользовательским соглашением