Упр.355 ГДЗ Макарычев Миндюк 9 класс (Алгебра)

Решение #1

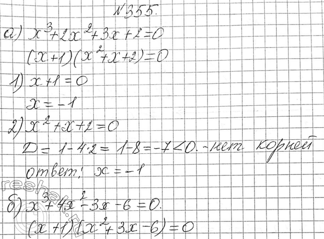
Изображение 355. Решите уравнение:а) х3 + 2x2 + 3x + 2 = 0; б) х3 + 4x2 - 3x - 6 =...

Решение #2

Изображение 355. Решите уравнение:а) х3 + 2x2 + 3x + 2 = 0; б) х3 + 4x2 - 3x - 6 =...
Дополнительное изображение
Загрузка...

Рассмотрим вариант решения задания из учебника Макарычев, Миндюк, Нешков 9 класс, Просвещение:
355. Решите уравнение:
а) х3 + 2x2 + 3x + 2 = 0; б) х3 + 4x2 - 3x - 6 = 0.
*Цитирирование задания со ссылкой на учебник производится исключительно в учебных целях для лучшего понимания разбора решения задания.
*размещая тексты в комментариях ниже, вы автоматически соглашаетесь с пользовательским соглашением