Упр.292 ГДЗ Макарычев Миндюк 9 класс (Алгебра)
Решение #1
Решение #2

Рассмотрим вариант решения задания из учебника Макарычев, Миндюк, Нешков 9 класс, Просвещение:
292. При каких значениях а:
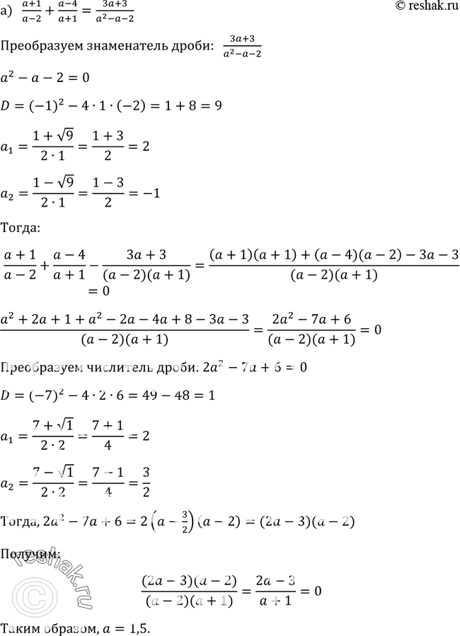
а) сумма дробей (a+1)/(a-2) и (a-4)/(a+1) равна дроби (3a+3)/(a2-a-2);
б) разность дробей (3a-5)/(a2-1) равна дроби (3a+2)/(a2+a)?
*размещая тексты в комментариях ниже, вы автоматически соглашаетесь с пользовательским соглашением