Упр.29 ГДЗ Макарычев Миндюк 9 класс (Алгебра)
Решение #1
Решение #2

Рассмотрим вариант решения задания из учебника Макарычев, Миндюк, Нешков 9 класс, Просвещение:
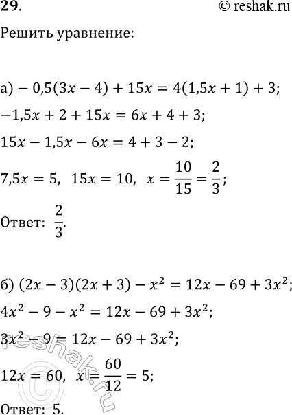
29 Решите уравнение:
а) —0,5(3x - 4) + 15x =4(1,5x + 1) + 3;
б) (2x - 3)(2x + 3) - x2= = 12x - 69 + 3x2.
*размещая тексты в комментариях ниже, вы автоматически соглашаетесь с пользовательским соглашением