Упр.267 ГДЗ Макарычев Миндюк 9 класс (Алгебра)
Решение #1
Решение #2

Рассмотрим вариант решения задания из учебника Макарычев, Миндюк, Нешков 9 класс, Просвещение:
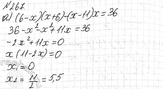
267. Решите уравнение:
а) (6 - х)(х + 6) - (х - 11)х = 36;
*размещая тексты в комментариях ниже, вы автоматически соглашаетесь с пользовательским соглашением