Упр.257 ГДЗ Макарычев Миндюк 9 класс (Алгебра)

Решение #1

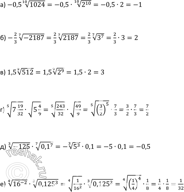
Изображение 257. Найдите значение выражения:а) -0,5 корень 10 степени 1024;б) -2/3 корень 7 степени -2187;в) 1,5 корень 9 степени 512;г) корень 5 степени 7*19/32 * корень...

Решение #2

Изображение 257. Найдите значение выражения:а) -0,5 корень 10 степени 1024;б) -2/3 корень 7 степени -2187;в) 1,5 корень 9 степени 512;г) корень 5 степени 7*19/32 * корень...
Загрузка...

Рассмотрим вариант решения задания из учебника Макарычев, Миндюк, Нешков 9 класс, Просвещение:
257. Найдите значение выражения:
а) -0,5 корень 10 степени 1024;
б) -2/3 корень 7 степени -2187;
в) 1,5 корень 9 степени 512;
г) корень 5 степени 7*19/32 * корень 5*4/9;
д) корень 3 степени 125 * корень 3 степени 0,1^7;
е) корень 4 степени 16^-2 * корень 3 степени 0,125^3.
*Цитирирование задания со ссылкой на учебник производится исключительно в учебных целях для лучшего понимания разбора решения задания.
*размещая тексты в комментариях ниже, вы автоматически соглашаетесь с пользовательским соглашением