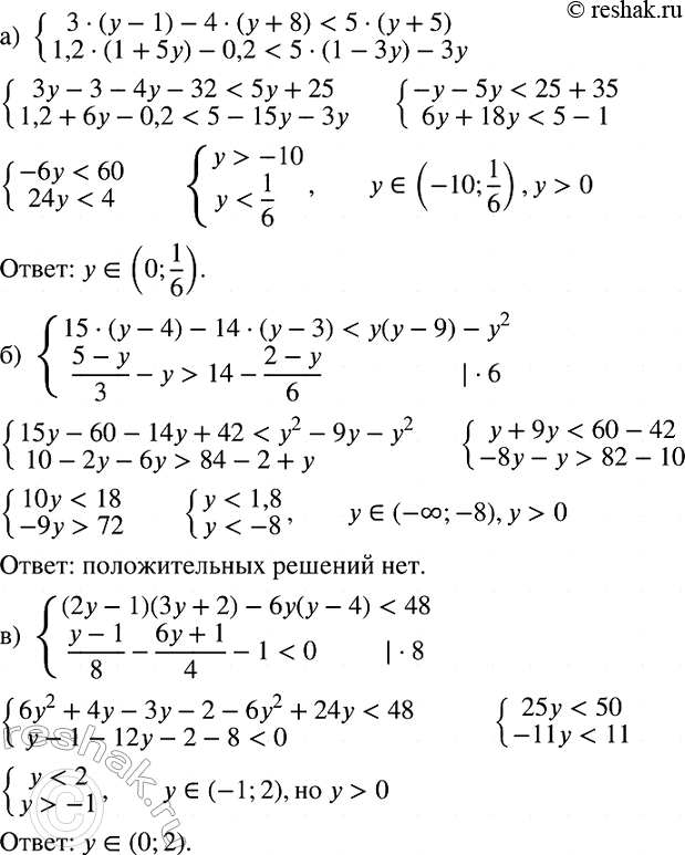
Упр.958 ГДЗ Макарычев Миндюк 8 класс (Алгебра)
Решение #1
Решение #2

Рассмотрим вариант решения задания из учебника Макарычев, Миндюк, Нешков 8 класс, Просвещение:
958. Найдите положительные значения у, удовлетворяющие системе неравенств:
а) система
13(y - 1) - 4(у + 8) < 5(y + 5),
1,2(1 + 5y) - 0,2 < 5(1 -3у)-3у;
б) система
15(у -4)- 14 (у - 3) < у (у - 9)- у2,
(5-y)/3 - y>14 - (2-y)/6;
в) система
(2у - 1)(3y + 2) - 6у (y - 4) < 48,
(у - 1)/8 - (6у + 1)/4 - 1<0.
*размещая тексты в комментариях ниже, вы автоматически соглашаетесь с пользовательским соглашением