Упр.73 ГДЗ Макарычев Миндюк 8 класс (Алгебра)
Решение #1
Решение #2

Рассмотрим вариант решения задания из учебника Макарычев, Миндюк, Нешков 8 класс, Просвещение:
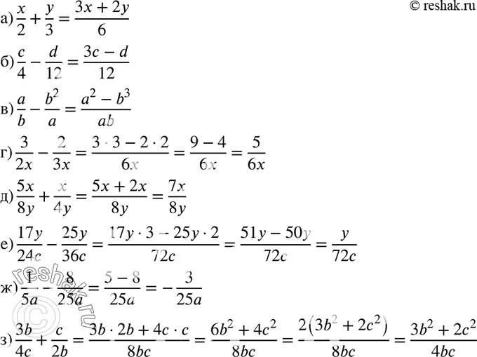
73. Представьте в виде дроби:
а) x/2+y/3;
б) c/4-d/12;
в) a/b-b2/a;
г) 3/2x-2/3x;
д) 5x/8y+x/4y;
е) 17y/24c-25y/36c;
ж) 1/5a-8/25a;
з) 3b/4c+c/2b.
*размещая тексты в комментариях ниже, вы автоматически соглашаетесь с пользовательским соглашением