Упр.693 ГДЗ Макарычев Миндюк 8 класс (Алгебра)
Решение #1
Решение #2

Рассмотрим вариант решения задания из учебника Макарычев, Миндюк, Нешков 8 класс, Просвещение:
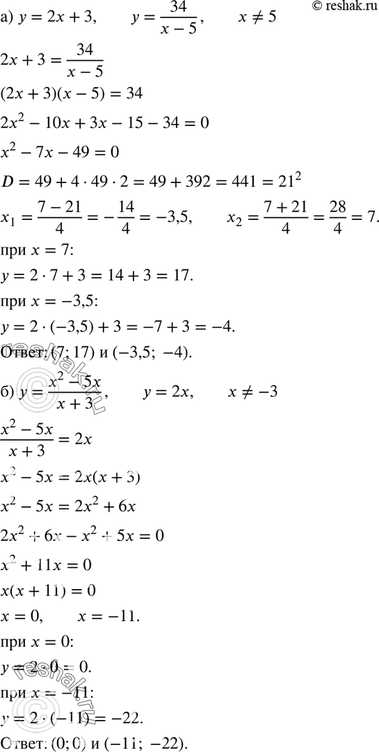
693. Найдите координаты точек пересечения графиков функций:
а) y=2x+3 и y=34/(x-5);
б) y=(x2-5x)/(x+3) и y=2x.
*размещая тексты в комментариях ниже, вы автоматически соглашаетесь с пользовательским соглашением