Упр.650 ГДЗ Макарычев Миндюк 8 класс (Алгебра)
Решение #1
Решение #2

Рассмотрим вариант решения задания из учебника Макарычев, Миндюк, Нешков 8 класс, Просвещение:
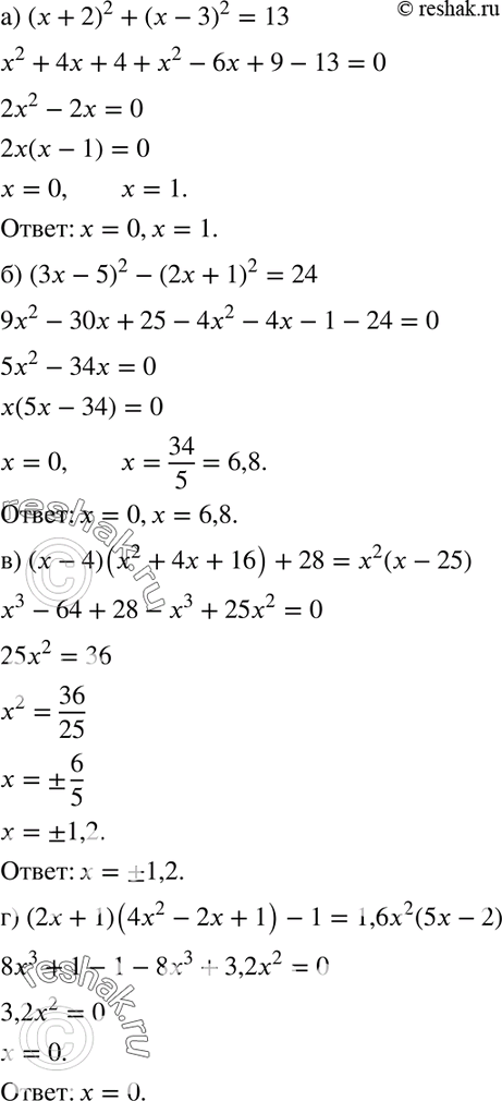
650. Решите уравнение:
а) (х + 2)2 + (x - З)2 = 13;
б) (3x - 5)2 - (2х + 1)2 = 24;
в) (x - 4)(x2 + 4x + 16) + 28 = x2(х - 25);
г) (2x + 1)(4х2 - 2x + 1) - 1 = 1,6x2(5x - 2).
*размещая тексты в комментариях ниже, вы автоматически соглашаетесь с пользовательским соглашением