Упр.581 ГДЗ Макарычев Миндюк 8 класс (Алгебра)
Решение #1
Решение #2

Рассмотрим вариант решения задания из учебника Макарычев, Миндюк, Нешков 8 класс, Просвещение:
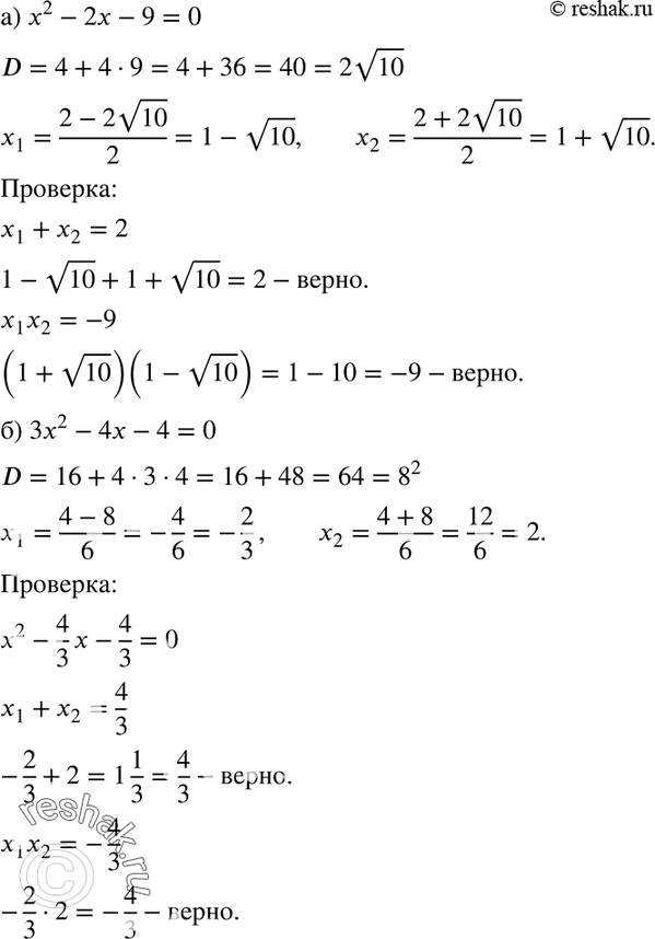
581. Решите уравнение и выполните проверку по теореме, обратной теореме Виета:
а) х2 - 2х - 9 = 0;
б) 3х2 - 4х - 4 = 0;
в) 2х2 + 7х - 6 = 0;
г) 2х2 + 9х + 8 = 0.
*размещая тексты в комментариях ниже, вы автоматически соглашаетесь с пользовательским соглашением