Упр.401 ГДЗ Макарычев Миндюк 8 класс (Алгебра)
Решение #1
Решение #2

Рассмотрим вариант решения задания из учебника Макарычев, Миндюк, Нешков 8 класс, Просвещение:
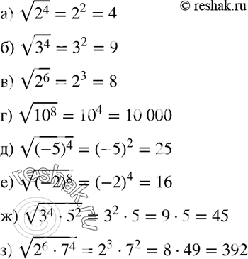
401. Найдите значение корня:
a) корень 2^4;
б) корень 3^4;
в) корень 2^6
г) корень 10^8;
д) корень (-5)4;
е) корень (-2)8;
ж) корень (3^4* 5^2);
з) корень (2^6*7^4).
*размещая тексты в комментариях ниже, вы автоматически соглашаетесь с пользовательским соглашением