Упр.338 ГДЗ Макарычев Миндюк 8 класс (Алгебра)
Решение #1
Решение #2

Рассмотрим вариант решения задания из учебника Макарычев, Миндюк, Нешков 8 класс, Просвещение:
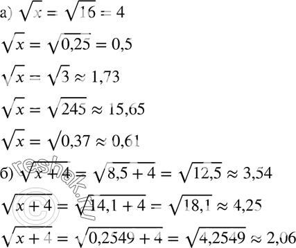
338. С помощью калькулятора вычислите значение выражения:
а) корень х при х = 16; 0,25; 3; 245; 0,37;
б) корень (х + 4) при х = 8,5; 14,1; 0,2549.
*размещая тексты в комментариях ниже, вы автоматически соглашаетесь с пользовательским соглашением