Упр.111 ГДЗ Макарычев Миндюк 8 класс (Алгебра)
Решение #1
Решение #2

Рассмотрим вариант решения задания из учебника Макарычев, Миндюк, Нешков 8 класс, Просвещение:
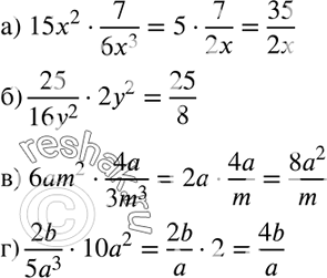
111. Преобразуйте в дробь выражение:
а) 15x2*7/6x3;
б) 25/16y2*2y2;
в) 6am2*4a/3m3;
г) 2b/5a3*10a2.
*размещая тексты в комментариях ниже, вы автоматически соглашаетесь с пользовательским соглашением