Упр.1041 ГДЗ Макарычев Миндюк 8 класс (Алгебра)
Решение #1
Решение #2
Решение #3

Рассмотрим вариант решения задания из учебника Макарычев, Миндюк, Нешков 8 класс, Просвещение:
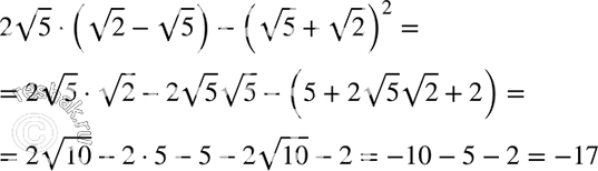
1041. Упростите выражение 2 корень 5(корень 2 - корень 5) - (корень 5 + корень 2)2.
*размещая тексты в комментариях ниже, вы автоматически соглашаетесь с пользовательским соглашением