Упр.692 ГДЗ Алимов 10-11 класс (Алгебра)
Решение #1
Решение #2

Рассмотрим вариант решения задания из учебника Алимов, Колягин, Ткачёва 11 класс, Просвещение:
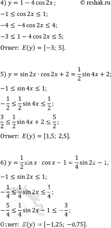
692 Найти множество значений функции:
1) у = 1 + sin х;
2) у = 1 - cos х;
3) у - 2 sinx + 3;
4) y = 1 - 4 cos 2x;
5) у = sin 2x cos 2x + 2;
6) у = 1/2 sin x cos x — 1.
*размещая тексты в комментариях ниже, вы автоматически соглашаетесь с пользовательским соглашением