Упр.282 ГДЗ Алимов 10-11 класс (Алгебра)
Решение #1
Решение #2

Рассмотрим вариант решения задания из учебника Алимов, Колягин, Ткачёва 10 класс, Просвещение:
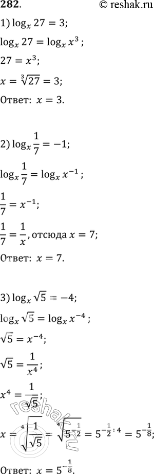
282. Регить уравнение:
1) logx(27) =3;
1) logx(1/7) =-1;
1) logx(корень 5) =-4.
*размещая тексты в комментариях ниже, вы автоматически соглашаетесь с пользовательским соглашением