Упр.216 ГДЗ Алимов 10-11 класс (Алгебра)

Решение #1

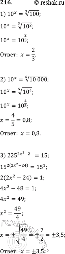
Изображение 216 1) 10x = корень 3 степени 100;2) 10x = корень 4 степени 10 000;3) 225^(2x2-24) =15;4) 10x=1/корень 4 степени 10 000;5) (корень 10)x = 10 ^(x2-x);6)...
Дополнительное изображение

Решение #2

Изображение 216 1) 10x = корень 3 степени 100;2) 10x = корень 4 степени 10 000;3) 225^(2x2-24) =15;4) 10x=1/корень 4 степени 10 000;5) (корень 10)x = 10 ^(x2-x);6)...
Дополнительное изображение
Загрузка...

Рассмотрим вариант решения задания из учебника Алимов, Колягин, Ткачёва 10 класс, Просвещение:
216 1) 10x = корень 3 степени 100;
2) 10x = корень 4 степени 10 000;
3) 225^(2x2-24) =15;
4) 10x=1/корень 4 степени 10 000;
5) (корень 10)x = 10 ^(x2-x);
6) 100^(x2-1) = 10^(1-5x).
*Цитирирование задания со ссылкой на учебник производится исключительно в учебных целях для лучшего понимания разбора решения задания.
*размещая тексты в комментариях ниже, вы автоматически соглашаетесь с пользовательским соглашением