Упр.132 ГДЗ Алимов 10-11 класс (Алгебра)
Решение #1
Решение #2

Рассмотрим вариант решения задания из учебника Алимов, Колягин, Ткачёва 10 класс, Просвещение:
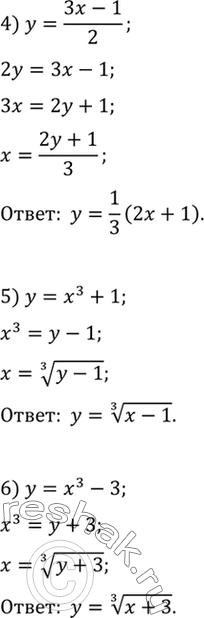
132. Найти функцию, обратную данной:
1) y=2x-1;
2) y=-5x +4;
3) y=1/3x - 2/3;
4) y= (3x-1)/2;
5) y=x3+1;
6) x3-3.
*размещая тексты в комментариях ниже, вы автоматически соглашаетесь с пользовательским соглашением