Онлайн тест ЕГЭ по математике 2016 Вариант №3. Тест соответствует Федеральным Государственным Образовательным стандартам 2016. Для проходжения теста в вашем браузере должна быть включена функция JavaScript. Ответ вводится в специальное поле. Ответом является целое число или десятичная дробь, например: 4,25 (разделение разряда только через запятую). Единицы измерения не пишутся. После ввода предположительного ответа, нажмите кнопку "Проверить". По ходу решения Вы можете наблюдать за количеством набранных баллов. Все баллы по заданиям распределены в соответствии с КИМ.




ЗАДАНИЯ ЧАСТИ В

B1
Теплоход рассчитан на 650 пассажиров и 20 членов команды. Каждая спасательная шлюпка может вместить 70 человек. Какое наименьшее число шлюпок должно быть на теплоходе, чтобы в случае необходимости в них можно было разместить всех пассажиров и всех членов команды?


Введите ответ:

Не получается?
Посмотреть ответ

Ответ:10


B2
На диаграмме показана среднемесячная температура воздуха (в градусах Цельсия) в Хабаровске по результатам многолетних наблюдений. Найдите по диаграмме количество месяцев, когда среднемесячная температура в Хабаровске больше 15 °С.
Введите ответ:

Не получается?
Посмотреть ответ

Ответ:4


B3
Найдите площадь треугольника, изображённого на клетчатой бумаге с размером клетки 1 см х 1 см. Ответ дайте в квадратных сантиметрах.
Введите ответ:

Не получается?
Посмотреть ответ

Ответ:22,5


B4
Абонент выбрал наиболее дешёвый тарифный план, исходя из предположения, что общая длительность телефонных разговоров составляет 700 минут в месяц. Какую сумму он должен заплатить за месяц, если общая длительность разговоров в этом месяце действительно будет равна 700 минутам? Ответ дайте в рублях.
Введите ответ:

Не получается?
Посмотреть ответ

Ответ:210


B5
Найдите корень уравнения
Введите ответ:

Не получается?
Посмотреть ответ

Ответ:-3


B6
В треугольнике ABC угол А равен 21°, углы В и С — острые, высоты BD и СЕ пересекаются в точке О. Найдите угол DOE. Ответ дайте в градусах.
Введите ответ:

Не получается?
Посмотреть ответ

Ответ:159


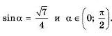
B7
Найдите cos а, если
Введите ответ:

Не получается?
Посмотреть ответ

Ответ:0,75


B8
На рисунке изображён график функции y = f'(x) — производной функции определённой на интервале (-2;5). Найдите точку максимума функции f(x).
Введите ответ:

Не получается?
Посмотреть ответ

Ответ:1


B9
В прямоугольном параллелепипеде ABCDAlBlClDl известно, что DD1 = 21, AlBl = 12, ВС = 12. Найдите длину диагонали AC1
Введите ответ:

Не получается?
Посмотреть ответ

Ответ:27


B10
В чемпионате по гимнастике участвуют 50 спортсменок: 18 из Великобритании, 21 из Франции, остальные — из Германии. Порядок, в котором выступают гимнастки, определяется жребием. Найдите вероятность того, что спортсменка, выступающая первой, окажется из Германии.
Введите ответ:

Не получается?
Посмотреть ответ

Ответ:0,22


B11
В цилиндрическом сосуде уровень жидкости достигает 80 см. На какой высоте будет находиться уровень жидкости, если её перелить во второй цилиндрический сосуд, диаметр которого в 4 раза больше диаметра первого? Ответ выразите в сантиметрах.
Введите ответ:

Не получается?
Посмотреть ответ

Ответ:5


B12
Зависимость объёма спроса q (единиц в месяц) на продукцию предприятия-монополиста от цены р (тыс. руб.) задаётся формулой q = 150-10р. Выручка предприятия за месяц r (тыс. руб.) вычисляется по формуле г(р) = pq . Определите наибольшую цену р, при которой месячная выручка г(р) составит 560 тыс. руб. Ответ приведите в тысячах рублей.
Введите ответ:

Не получается?
Посмотреть ответ

Ответ:8


B13
Заказ на 112 деталей первый рабочий выполняет на 6 часов быстрее, чем второй. Сколько деталей в час делает второй рабочий, если известно, что первый за час делает на 6 деталей больше?
Введите ответ:

Не получается?
Посмотреть ответ

Ответ:8


B14
Найдите наименьшее значение функции
Введите ответ:

Не получается?
Посмотреть ответ

Ответ:4