Онлайн тест ЕГЭ по математике 2016 Вариант №4. Тест соответствует Федеральным Государственным Образовательным стандартам 2016. Для проходжения теста в вашем браузере должна быть включена функция JavaScript. Ответ вводится в специальное поле. Ответом является целое число или десятичная дробь, например: 4,25 (разделение разряда только через запятую). Единицы измерения не пишутся. После ввода предположительного ответа, нажмите кнопку "Проверить". По ходу решения Вы можете наблюдать за количеством набранных баллов. Все баллы по заданиям распределены в соответствии с КИМ.




ЗАДАНИЯ ЧАСТИ В

B1
Поезд Саратов — Москва отправляется в 18:40, а прибывает в 10:40 на следующий день (время московское). Сколько часов поезд находится в пути?


Введите ответ:

Не получается?
Посмотреть ответ

Ответ:16


B2
На рисунке жирными точками показана цена никеля на момент закрытия биржевых торгов во все рабочие дни с 10 по 26 ноября 2008 года. По горизонтали указываются числа месяца, по вертикали — цена тонны никеля в долларах США. Для наглядности жирные точки на рисунке соединены линией. Определите по рисунку разность между наибольшей и наименьшей ценой никеля на момент закрытия торгов в указанный период (в долларах США за тонну).
Введите ответ:

Не получается?
Посмотреть ответ

Ответ:1800


B3
Найдите площадь трапеции, изображённой на рисунке.
Введите ответ:

Не получается?
Посмотреть ответ

Ответ:20


B4
В таблице даны тарифы на услуги трёх фирм такси. Предполагается поездка длительностью 50 минут. Нужно выбрать фирму, в которой заказ будет стоить дешевле всего. Сколько рублей будет стоить этот заказ?
Введите ответ:

Не получается?
Посмотреть ответ

Ответ:750


B5
Найдите корень уравнения
Введите ответ:

Не получается?
Посмотреть ответ

Ответ:-1


B6
В треугольнике ABC угол С равен 36° , биссектрисы AD и BE пересекаются в точке О. Найдите угол АОВ. Ответ дайте в градусах.
Введите ответ:

Не получается?
Посмотреть ответ

Ответ:108


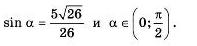
B7
Найдите tga, если
Введите ответ:

Не получается?
Посмотреть ответ

Ответ:5


B8
На рисунке изображены график дифференцируемой функции у = f(x) и касательная к нему в точке с абсциссой х0. Найдите значение производной функции f(x) в точке х0.
Введите ответ:

Не получается?
Посмотреть ответ

Ответ:-0,25


B9
Диаметр основания конуса равен 30, а длина образующей — 25. Найдите высоту конуса.
Введите ответ:

Не получается?
Посмотреть ответ

Ответ:20


B10
В среднем из 1000 садовых насосов, поступивших в продажу, 7 подтекают. Найдите вероятность того, что один случайно выбранный для контроля насос не подтекает.
Введите ответ:

Не получается?
Посмотреть ответ

Ответ:0,993


B11
В цилиндрическом сосуде уровень жидкости достигает 63 см. На какой высоте будет находиться уровень жидкости, если её перелить во второй цилиндрический сосуд, диаметр которого в 3 раза больше диаметра первого? Ответ выразите в сантиметрах.
Введите ответ:

Не получается?
Посмотреть ответ

Ответ:7


B12
Зависимость объёма спроса q (единиц в месяц) на продукцию предприятия-монополиста от цены р (тыс. руб.) задаётся формулой q = 140 -10р. Выручка предприятия за месяц г (тыс. руб.) вычисляется по формуле r(p)= pq . Определите наибольшую цену р, при которой месячная выручка г(р) составит 400 тыс. руб. Ответ приведите в тысячах рублей.
Введите ответ:

Не получается?
Посмотреть ответ

Ответ:10


B13
На изготовление 252 деталей первый рабочий затрачивает на 9 часов меньше, чем второй рабочий на изготовление 420 деталей. Известно, что первый рабочий за час делает на 1 деталь больше, чем второй. Сколько деталей в час делает первый рабочий?
Введите ответ:

Не получается?
Посмотреть ответ

Ответ:21


B14
Найдите наименьшее значение функции
Введите ответ:

Не получается?
Посмотреть ответ

Ответ:3