Онлайн тест ЕГЭ по математике 2016 Вариант №23. Тест соответствует Федеральным Государственным Образовательным стандартам 2016. Для проходжения теста в вашем браузере должна быть включена функция JavaScript. Ответ вводится в специальное поле. Ответом является целое число или десятичная дробь, например: 4,25 (разделение разряда только через запятую). Единицы измерения не пишутся. После ввода предположительного ответа, нажмите кнопку "Проверить". По ходу решения Вы можете наблюдать за количеством набранных баллов. Все баллы по заданиям распределены в соответствии с КИМ.




ЗАДАНИЯ ЧАСТИ В

B1
В квартире, где проживает Алексей, установлен прибор учёта расхода горячей воды (счётчик). 1 марта счётчик показывал расход 934 куб. м воды, а 1 апреля счётчик показывал 956 куб. м. Какую сумму должен заплатить Алексей за горя¬чую воду за март, если цена за 1 куб. м горячей воды составляет 82 руб. 50 коп.? Ответ дайте в рублях.


Введите ответ:

Не получается?
Посмотреть ответ

Ответ:1815


B2
На диаграмме показана среднемесячная температура воздуха в Минске за каждый месяц 2003 года. По горизонтали указываются месяцы, по вертикали — темпера¬тура в градусах Цельсия. Определите по диаграмме наибольшую среднемесячную температуру в осенние месяцы 2003 года. Ответ дайте в градусах Цельсия.
Введите ответ:

Не получается?
Посмотреть ответ

Ответ:12


B3
Найдите площадь трапеции, изображённой на клетчатой бумаге с размером клетки 1 см х 1 см (см. рисунок). Ответ дайте в квадратных сантиметрах.
Введите ответ:

Не получается?
Посмотреть ответ

Ответ:13


B4
В таблице указаны средние цены (в рублях) на некоторые основные продукты питания в трёх городах России (по данным на начало 2010 года). Определите, в каком из этих городов окажется самым дешёвым следующий набор продуктов: 1 батон пшеничного хлеба, 4 кг картофеля, 1 кг сыра. В ответ запишите стоимость данного набора продуктов в этом городе (в рублях).
Введите ответ:

Не получается?
Посмотреть ответ

Ответ:328


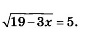
B5
Найдите корень уравнения.
Введите ответ:

Не получается?
Посмотреть ответ

Ответ:-2


B6
В треугольнике ABC AD — биссектриса, угол С равен 38°, угол CAD равен 44°. Найдите угол В. Ответ дайте в градусах.
Введите ответ:

Не получается?
Посмотреть ответ

Ответ:54


B7

Введите ответ:

Не получается?
Посмотреть ответ

Ответ:-0,3


B8
На рисунке изображены график функции у = f(x) и касательная к нему в точке с абсциссой х0. Найдите значение производной функции f(x) в точке х0.
Введите ответ:

Не получается?
Посмотреть ответ

Ответ:0,25


B9
Объём куба равен 12. Найдите объём треугольной пирамиды, отсекаемой от него плоскостью, проходящей через середины двух рёбер, выходящих из одной верши¬ны, и параллельной третьему ребру, выходящему из этой же вершины.
Введите ответ:

Не получается?
Посмотреть ответ

Ответ:1,5


B10
На тарелке 15 пирожков: 6 с яблоками, 4 с капустой и 5 с печенью. Варя наугад выбирает один пирожок. Найдите вероятность того, что он окажется с яблоками.
Введите ответ:

Не получается?
Посмотреть ответ

Ответ:0,4


B11
Прямоугольный параллелепипед описан около цилиндра, радиус основания и вы¬сота которого равны 11,5. Найдите объём параллелепипеда.
Введите ответ:

Не получается?
Посмотреть ответ

Ответ:6083,5


B12
В ходе распада радиоактивного изотопа его масса уменьшается по закону, 100 В9 где m0 (мг) — начальная масса, изотопа, t (мин) — время, прошед¬шее от начального момента, Т (мин) — период полураспада. В начальный момент времени масса изотопа т0 = 96 мг. Период его полураспада Т = 3 мин. Через сколько минут масса изотопа будет равна 3 мг?
Введите ответ:

Не получается?
Посмотреть ответ

Ответ:15


B13
Из пункта А в пункт В, расстояние между которыми 50 км, одновременно вы¬ехали автомобилист и велосипедист. Известно, что в час автомобилист проезжает на 110 км больше, чем велосипедист. Определите скорость велосипедиста, если из¬вестно, что он прибыл в пункт В на 4 часа 35 минут позже автомобилиста. Ответ дайте в километрах в час.
Введите ответ:

Не получается?
Посмотреть ответ

Ответ:10


B14
Найдите наименьшее значение функции у = х^3 +12х^2 +36х + 86 на отрезке [-5; 0].
Введите ответ:

Не получается?
Посмотреть ответ

Ответ:54