Онлайн тест ЕГЭ по математике 2016 Вариант №24. Тест соответствует Федеральным Государственным Образовательным стандартам 2016. Для проходжения теста в вашем браузере должна быть включена функция JavaScript. Ответ вводится в специальное поле. Ответом является целое число или десятичная дробь, например: 4,25 (разделение разряда только через запятую). Единицы измерения не пишутся. После ввода предположительного ответа, нажмите кнопку "Проверить". По ходу решения Вы можете наблюдать за количеством набранных баллов. Все баллы по заданиям распределены в соответствии с КИМ.




ЗАДАНИЯ ЧАСТИ В

B1
Когда на русский язык переводили фантастический роман Жюля Верна «20 000 льё под водой», перевели и единицы расстояния тоже. Переводчики использовали почтовое льё, в котором примерно 4 километра. В результате получился роман «80 000 километров под водой». Но в 1 морском льё, не 4 километра, а примерно 5,557 км. На сколько километров больше получилось бы у переводчиков, если бы они использовали не почтовое льё, а морское?


Введите ответ:

Не получается?
Посмотреть ответ

Ответ:31140


B2
На диаграмме показана среднемесячная температура воздуха в Санкт-Петербурге за каждый месяц 1999 года. По горизонтали указываются месяцы, по вертика¬ли — температура в градусах Цельсия. Определите по диаграмме наименьшую среднемесячную температуру в 1999 году. Ответ дайте в градусах Цельсия.
Введите ответ:

Не получается?
Посмотреть ответ

Ответ:-8


B3
Площадь треугольника ABC равна 20. DE средняя линия. Найдите площадь трапеции ABDE.
Введите ответ:

Не получается?
Посмотреть ответ

Ответ:15


B4
В таблице указаны средние цены (в рублях) на некоторые основные продукты пи¬тания в трёх городах России (по данным на начало 2010 года). Определите, в каком из этих городов окажется самым дешёвым следующий набор продуктов: 2 кг картофеля, 1 кг сыра, 1 л подсолнечного масла. В ответ запишите стоимость данного набора продуктов в этом городе (в рублях).
Введите ответ:

Не получается?
Посмотреть ответ

Ответ:323


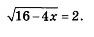
B5
Найдите корень уравнения.
Введите ответ:

Не получается?
Посмотреть ответ

Ответ:3


B6
В треугольнике ABC AD — биссектриса, угол С равен 30°, угол CAD равен 27°. Найдите угол В. Ответ дайте в градусах.
Введите ответ:

Не получается?
Посмотреть ответ

Ответ:96


B7

Введите ответ:

Не получается?
Посмотреть ответ

Ответ:0,5


B8
На рисунке изображены график функции y = f(x) и касательная к нему в точке с абсциссой x0. Найдите значение производной функции f(x) в точке х0.
Введите ответ:

Не получается?
Посмотреть ответ

Ответ:-1,25


B9
В правильной треугольной пирамиде SABC Р — середина ребра АВ, S — вершина. Известно, что ВС = 5, a SP = 6. Найдите площадь боковой поверхности пирамиды.
Введите ответ:

Не получается?
Посмотреть ответ

Ответ:45


B10
На тарелке 16 пирожков: 7 с рыбой, 5 с вареньем и 4 с вишней. Юля наугад вы¬бирает один пирожок. Найдите вероятность того, что он окажется с вишней.
Введите ответ:

Не получается?
Посмотреть ответ

Ответ:0,25


B11
Прямоугольный параллелепипед описан около цилиндра, радиус основания и вы¬сота которого равны 1,5. Найдите объём параллелепипеда.
Введите ответ:

Не получается?
Посмотреть ответ

Ответ:13,5


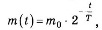
B12
В ходе распада радиоактивного изотопа его масса уменьшается по закону, В9 где т0 (мг) — начальная масса изотопа, t (мин) — время, прошед¬шее от начального момента, Т (мин) — период полураспада. В начальный момент времени масса изотопа m0= 80 мг. Период его полураспада Т = 2 мин. Через сколько минут масса изотопа будет равна 5 мг?
Введите ответ:

Не получается?
Посмотреть ответ

Ответ:8


B13
Валя и Галя пропалывают грядку за 8 минут, а одна Галя — за 10 минут. За сколько минут пропалывает грядку одна Валя?
Введите ответ:

Не получается?
Посмотреть ответ

Ответ:40


B14
Найдите наибольшее значение функции у = х^3 -6х^2 + 9х + 5 на отрезке [0,5; 2].
Введите ответ:

Не получается?
Посмотреть ответ

Ответ:9