Онлайн тест ЕГЭ по математике 2016 Вариант №22. Тест соответствует Федеральным Государственным Образовательным стандартам 2016. Для проходжения теста в вашем браузере должна быть включена функция JavaScript. Ответ вводится в специальное поле. Ответом является целое число или десятичная дробь, например: 4,25 (разделение разряда только через запятую). Единицы измерения не пишутся. После ввода предположительного ответа, нажмите кнопку "Проверить". По ходу решения Вы можете наблюдать за количеством набранных баллов. Все баллы по заданиям распределены в соответствии с КИМ.




ЗАДАНИЯ ЧАСТИ В

B1
Система навигации, встроенная в спинку самолётного кресла, информирует пасса¬жира о том, что полёт проходит на высоте 33 ООО футов. Выразите высоту полёта в метрах. Считайте, что 1 фут равен 30,5 см.


Введите ответ:

Не получается?
Посмотреть ответ

Ответ:10065


B2
На диаграмме показана среднемесячная температура воздуха в Нижнем Новгороде за каждый месяц 1994 года. По горизонтали указываются месяцы, по вертикали — температура в градусах Цельсия. Определите по диаграмме наименьшую среднеме¬сячную температуру в осенние месяцы 1994 года. Ответ дайте в градусах Цельсия.
Введите ответ:

Не получается?
Посмотреть ответ

Ответ:-4


B3
Площадь треугольника ABC равна 16. DE — средняя линия. Найдите площадь трапеции ABDE.
Введите ответ:

Не получается?
Посмотреть ответ

Ответ:12


B4
В таблице указаны средние цены (в рублях) на некоторые основные продукты пи¬тания в трёх городах России (по данным на начало 2010 года). Определите, в каком из этих городов окажется самым дешёвым следующий набор продуктов: 3 л молока, 1 кг говядины, 1 л подсолнечного масла. В ответ запишите стоимость данного набора продуктов в этом городе (в рублях).
Введите ответ:

Не получается?
Посмотреть ответ

Ответ:352


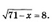
B5
Найдите корень уравнения.
Введите ответ:

Не получается?
Посмотреть ответ

Ответ:7


B6
В треугольнике ABC AD — биссектриса, угол С равен 23°, угол CAD равен 49°. Найдите угол В. Ответ дайте в градусах.
Введите ответ:

Не получается?
Посмотреть ответ

Ответ:59


B7

Введите ответ:

Не получается?
Посмотреть ответ

Ответ:0,25


B8
На рисунке изображены график функции у = f(x) и касательная к нему в точке с абсциссой x0. Найдите значение производной функции f(x) в точке x0.
Введите ответ:

Не получается?
Посмотреть ответ

Ответ:-1,75


B9
В сосуд, имеющий форму конуса, налили 30 мл жидкости до половины высоты сосуда (см. рисунок) Сколько милли¬литров жидкости нужно долить в сосуд, чтобы заполнить его доверху?
Введите ответ:

Не получается?
Посмотреть ответ

Ответ:210


B10
На тарелке 16 пирожков: 8 с мясом, 3 с яблоками и 5 с луком. Настя наугад вы¬бирает один пирожок. Найдите вероятность того, что он окажется с мясом.
Введите ответ:

Не получается?
Посмотреть ответ

Ответ:0,5


B11
Прямоугольный параллелепипед описан около цилиндра, радиус основания и высота которого равны 19,5. Найдите объём параллелепипеда.
Введите ответ:

Не получается?
Посмотреть ответ

Ответ:29 659,5


B12
В ходе распада радиоактивного изотопа его масса уменьшается по закону, С1 где m0 (мг) — начальная масса изотопа, t (мин) — время, прошед¬шее от начального момента, Т (мин) — период полураспада. В начальный момент времени масса изотопа т0 — 140 мг. Период его полураспада Т = 6 мин. Через сколько минут масса изотопа будет равна 35 мг?
Введите ответ:

Не получается?
Посмотреть ответ

Ответ:12


B13
Игорь и Паша красят забор за 12 часов. Паша и Володя красят этот же забор за 15 часов, а Володя и Игорь — за 20 часов. За сколько часов мальчики покрасят забор, работая втроём?
Введите ответ:

Не получается?
Посмотреть ответ

Ответ:10


B14
Найдите наибольшее значение функции у = х^3 + 20х^2 +100x+ 23 на отрезке [-13; -9].
Введите ответ:

Не получается?
Посмотреть ответ

Ответ:23