Упр.944 ГДЗ Никольский Потапов 9 класс (Алгебра)

Решение #1

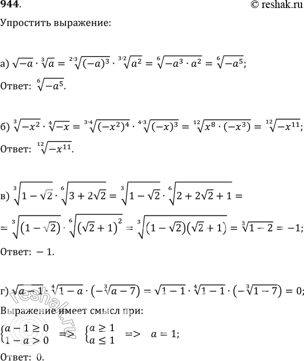
Изображение 944. а) v(-a)·a^(1/3);   б) (-x^2)^(1/3)·(-x)^(1/4);в) (1-v2)^(1/3)·(3+2v2)^(1/6);   г)...

Рассмотрим вариант решения задания из учебника Никольский, Потапов 9 класс, Просвещение:
944. а) v(-a)·a^(1/3); б) (-x^2)^(1/3)·(-x)^(1/4);
в) (1-v2)^(1/3)·(3+2v2)^(1/6); г) v(a-1)·(1-a)^(1/4)·(-(a-7)^(1/3)).
*Цитирирование задания со ссылкой на учебник производится исключительно в учебных целях для лучшего понимания разбора решения задания.
*размещая тексты в комментариях ниже, вы автоматически соглашаетесь с пользовательским соглашением