Упр.942 ГДЗ Дорофеев Шарыгин 6 класс (Математика)
Решение #1

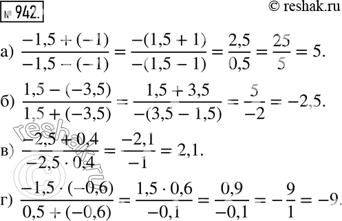
Рассмотрим вариант решения задания из учебника Дорофеев, Шарыгин, Суворова 6 класс, Просвещение:
942. а) (-1,5 + (-1))/(-1,5 - (-1));
б) (1,5 - (-3,5))/(1,5 + (-3,5));
в) (-2,5 + 0,4)/(-2,5 * 0,4);
г) (-1,5 * (-0,6))/(0,5 + (-0,6)).
*размещая тексты в комментариях ниже, вы автоматически соглашаетесь с пользовательским соглашением