Упр.937 ГДЗ Никольский Потапов 9 класс (Алгебра)

Решение #1

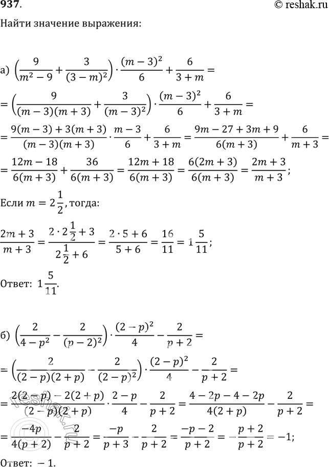
Изображение 937. а) (9/(m^2-9)+3/(3-m)^2)·(m-3)^2/6+6/(3+m) при m=2 1/2;б) (2/(4-p^2)-2/(p-2)^2)·(2-p)^2/4-2/(p+2) при...

Рассмотрим вариант решения задания из учебника Никольский, Потапов 9 класс, Просвещение:
937. а) (9/(m^2-9)+3/(3-m)^2)·(m-3)^2/6+6/(3+m) при m=2 1/2;
б) (2/(4-p^2)-2/(p-2)^2)·(2-p)^2/4-2/(p+2) при p=1,5.
*Цитирирование задания со ссылкой на учебник производится исключительно в учебных целях для лучшего понимания разбора решения задания.
*размещая тексты в комментариях ниже, вы автоматически соглашаетесь с пользовательским соглашением