Упр.932 ГДЗ Дорофеев Суворова 7 класс (Алгебра)
Решение #1

Рассмотрим вариант решения задания из учебника Дорофеев, Суворова, Бунимович 10-11 класс, Просвещение:
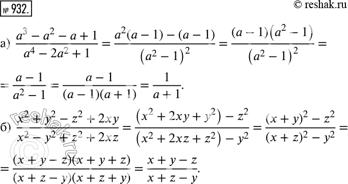
932 Сократите дробь:
а) (a3-a2-a+1)/(a4-2a2+1);
б) (x2+y2-z2+2xy)/(x2-y2+z2 + 2xz).
*размещая тексты в комментариях ниже, вы автоматически соглашаетесь с пользовательским соглашением