Упр.9.8 ГДЗ Мерзляк Поляков 9 класс (Алгебра)
Решение #1

Рассмотрим вариант решения задания из учебника Мерзляк, Поляков 9 класс, Вентана-Граф:
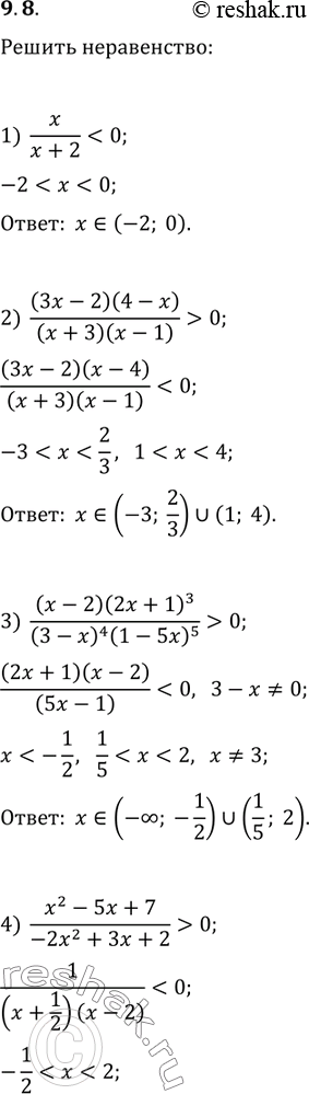
9.8. Решите неравенство:
1) x/(x+2)<0; 5) ((x-2)(x^2-1)(4x-5-3x^2))/(x+7)<0;
2) ((3x-2)(4-x))/((x+3)(x-1))>0;
6) ((x^3-8)(x^2-6x-7))/((3x-2x^2-4)(3x^2-10x+3))<0;
3) ((x-2)(2x+1)^3)/((3-x)^4 (1-5x)^5)>0;
7) (x^2+5x-6)/((x+2)(1-3x))<0;
4) (x^2-5x+7)/(-2x^2+3x+2)>0;
8) ((x^4-3x^2)(x^4+x^3-8x-8))/((1-x)(x+2))<0.
*размещая тексты в комментариях ниже, вы автоматически соглашаетесь с пользовательским соглашением