Упр.89 ГДЗ Колягин Ткачёва 9 класс (Алгебра)
Решение #1

Рассмотрим вариант решения задания из учебника Колягин, Ткачёва, Фёдорова 9 класс, Просвещение:
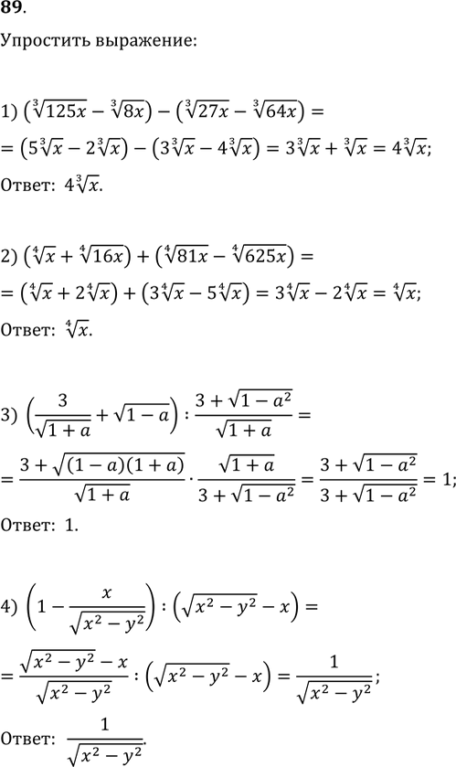
89. Упростить выражение:
1) ((125x)^(1/3)-(8x)^(1/3))-((27x)^(1/3)-(64x)^(1/3));
2) (x^(1/4)+(16x)^(1/4))+((81x)^(1/4)-(625x)^(1/4));
3) (3/v(1+a)+v(1-a)):(3+v(1-a^2))/v(1+a);
4) (1-x/v(x^2-y^2)):(v(x^2-y^2)-x).
*размещая тексты в комментариях ниже, вы автоматически соглашаетесь с пользовательским соглашением