Упр.830 ГДЗ Ткачёва 6 класс (Математика)
Решение #1

Рассмотрим вариант решения задания из учебника Ткачёва 6 класс, Просвещение:
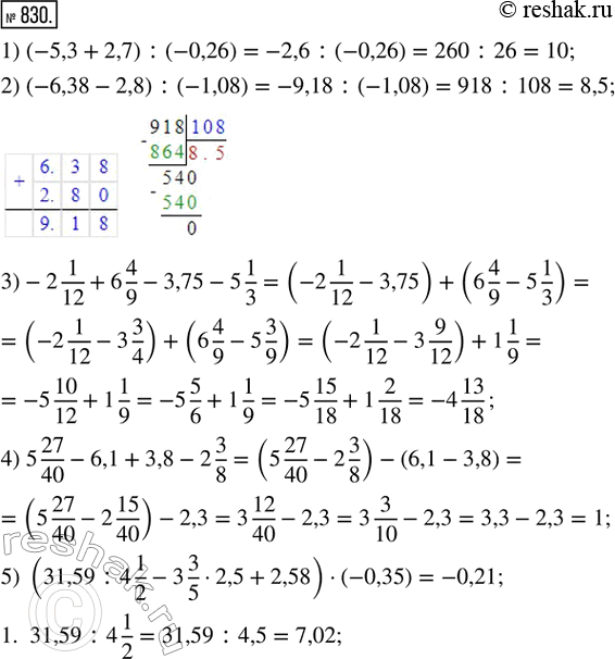
830. Вычислить:
1) (-5,3 + 2,7) : (-0,26);
2) (-6,38 - 2,8) : (-1,08);
3) -2 1/12 + 6 4/9 - 3,75 - 5 1/3;
4) 5 27/40 - 6,1 + 3,8 - 2 3/8;
5) (31,59 : 4 1/2 - 3 3/5 · 2,5 + 2,58) · (-0,35);
6) -5,3 + 0,74 : (4 - 0,7 · 3/7) - 2,1 : 2 1/3.
*размещая тексты в комментариях ниже, вы автоматически соглашаетесь с пользовательским соглашением